РЕГИСТРАЦИЯ, ВОССТАНОВЛЕНИЕ (ОБРАЩЕНИЕ) ВОЛНОВОГО ФРОНТА СВЕТА, САМОФОКУСИРОВКА - НОВЫЕ ЭФФЕКТЫ ПРИ ВЫНУЖДЕННОМ КОМБИНАЦИОННОМ РАССЕЯНИИ СВЕТА
А.И.Соколовская
Обнаружены и исследованы экспериментально новые явления при вынужденном комбинационном рассеянии света (BКP): 1) восстановление расходимости, яркости, амплитуды и фазы возбуждающего лазерного света, 2) образование многофокусной структуры в пучке ВКР. Изображение объекта-транспаранта, освещенного возбуждающим лазерным пучком, восстанавливается при ВКР так, что продольное и поперечное увеличение подчиняется законам голографии. Восстановление волнового фронта света происходит вследствие усиления ВКР в максимумах интенсивности возбуждающего света и дифракции на амплитудные голограммах, образованных лазерным излучением в усиливающей среде. Наши эксперименты показали, что при определенных оптимальных условиях фокальная структура в пучке ВКР не нарушает эффекта восстановления волнового фронта.
Экспериментальным путем было обнаружено, что при превышении определенной толщины слоя рассеивающего вещества в некотором интервале плотности мощности возбуждающего излучения при вынужденном комбинационном рассеянии (ВКР) возникает ряд физических эффектов, ранее неизвестных при молекулярном рассеянии света.
Было обнаружено, что ВКР, распространяющееся в направлении, противоположном возбуждающему излучению - "назад", по яркости, расходимости и ряду других параметров становится близким к возбуждающему лазерному излучению, падающему на рассеивающую среду. При введении в пучок накачки трехмерного объекта - транспаранта в пучке ВКР восстанавливается его объемное изображение, подчиняющееся законам голографии. Именно при ВКР, благодаря значительному смещению частоты рассеянного света относительно частоты
возбуждающего излучения, удалось обнаружить голографическую природу явления. В пучках ВКР "вперед" и "назад" восстанавливаются амплитудные и разовые характеристики пучка накачки. Волновой фронт ВКР "вперед" с некоторой степенью точности подобен волновому фронту
накачки, волновой фронт ВКР "назад" является с некоторой степенью точности "обращенным" по отношению к волновому фронту накачки. Пучок ВКР, распространяясь в среде, распадается на ряд фокальных областей. Продольные и поперечные размеры фокальных областей определяются плотностью мощности ВКР света. Самофокусировка ВКР света в ряде случаев является причиной, приводящей к нарушению эффекта восстановления волнового фронта света.
Работа посвящена результатам экспериментального обнаружения и изучения указанных новых физических явлении при ВКР.
1.
Восстановление амплитуды и фазы интенсивных
световых волн при ВКР
ВКР света возбуждалось в жидком азоте (Δν = 2300 ρм-1); монокристалле кальцита (Δν = 1085 ρм-1), сероуглероде (Δν = 656 ρм-1), пиперидине (Δν = 2936 см-1), ацетоне (Δν = 2921 ρм-1), нитробензоле (Δν = 1345 см-1),бензоле (Δν = 992 ρм-1), толуоле (Δν = 1003 ρм-1), циклогексане (Δν = 882 ρм-1) гигантскими импульсами рубинового и второй гармоникой неодимового лазеров при длительности 20∙10-9 нс и 20∙10-12 нс.
Поле лазерного излучения, падающее на рассеивающую среду, представляет собой интерференцию интенсивного пучка, генерируемого кристаллом, и слабых пучков, возникающих в результате дифракции интенсивного пучка на деталях установки (диафрагмах, неоднородностях оптических элементов установки и т.п.).
В том случае, если интенсивность дифрагированного света очень мала, то можно пренебречь интерференцией этих пучков с интенсивной волной лазерного излучения. Т.е. считать, что в падающем на среду свете присутствует только нулевой порядок дифракции, т.е. свет, прошедший путь до кюветы без отклонения.
Близкие условия указанному случаю были реализованы /1/. ВКР возбуждалось в жидком азоте гигантским импульсом рубинового лазера. Излучение концентрировалось в моде ТЕМ. Практическая плоская лазерная волна с гауссовым распределением интенсивности падала на линзу и фокусировалась в кювету с рассеивающим веществом. Изучалась зависимость расходимости, яркости, распределения интенсивности в дальнем поле ВКР распространявшегося в направлении возбуждающего излучения "вперед" и в противоположном направлении "назад" от толщины рассеивающего слоя и энергии накачки.
Согласно общепринятым представлениям, ВКР возникает в результате усиления импульсов спонтанного шума КР. Действительно, эксперимент показывает, что в тонком слое среды, даже при возбуждении одномодовым лазером, ВКР некогерентно. Яркость ВКР много меньше яркости, а расходимость значительно больше расходимости исходного лазерного излучения (см.рис.1а). Однако, при достижении определенных значении накачки и толщины слоя вещества расходимость, распределение интенсивности в дальнем поле, яркость ВКР "назад" и лазерного излучения становится близки (см.pиc.1б). При прохождении через среду излучения одномодового лазера при ВКР "назад" восстанавливалась практически плоская волна. Среда как бы отражает "назад" лазерное излучение со смещением частоты, равным наиболее интенсивному внутримолекулярному колебанию веществ. При вынужденном рассеянии Мандельштамма-Бриллюэна (ВРМБ), когда частота возбуждающего излучения близка к частоте рассеянного света, это явление получило название "обращения" волнового фронта света /2/. Отметим, что получение обращенного пучка рассеянного спета, как при ВРМБ, так и ВКР вовсе не требует введения в возбуждающий пучок света /2/ "фазовой" пластины. Об общности явлении при ВКР /1/ и ВРМБ /2/ сообщалось в работе /3/. Восстановление ряда параметров лазерного излучения при ВКР "назад" получает объяснение, если принять во внимание характер распределения плотности мощности накачки вдоль кюветы с рассеивающим веществом при возбуждении ВКР сфокусированным импульсом спета длительности 10 нс (рис.2). В объеме среды, ограниченном пучком накачки вблизи фокуса линзы, плот-
ностъ мощности возбуждающего света I0 наиболее велика.

Рис.1. Расходимость - θ, яркость - В, распределение интенсивности в дальнем поле лазерного излучения - Л
0, ВКР - Лs "вперед" и "назад" в слое жидкого азота толщиной а) 8 мм при мощности накачки 10 1 Мвт/см2,
б) 100 мм при мощности накачки 10 Мвт/см
2.
В этих областях уже при сравнительно небольшой энергии гигантского импульса лазера плотность мощности возбуждающего излучения достигает уровня насыщения ВКР и распределение интенсивности в поперечном сечении пучка ВКР не зависит от распределения интенсивности лазерного излучения. Распространяясь преимущественно в объеме, ограниченном пучком возбуждающего излучения при определенной величине инкремента усиления
glI0, ВКР становится направленным и когерентным. Высокая направленность и когерентность ВКР связаны с преимущественным усилением компонент спонтанного шума с волновыми векторами, параллельными и антипараллельными волновому вектору накачки. Интересно отметить,
что направленность пучка ВКР становятся близкой к направленности лазерного излучения при значении величины инкремента усиления
glI0>15.

Рис.2. Распределение плотности мощности накачки –
I0 вдоль кюветы при возбуждении ВКР сфокусированным импульсом света. I0'
- мощность накачки при насыщении ВКР.
Экспериментальные исследования и теоретические оценки /4/ показывают, что при достижении указанной величины инкремента усиления в среде возможно также возникновение распределенной обратной связи при В.Р.(РОС), которая, в свою очередь, может быть причиной увеличения яркости и направленности В.Р. света. Анализ причин возникновения и влияния РОС на параметры В.Р. света в каждом конкретном случае представляет самостоятельную задачу может быть выполнен преимущественно экспериментальным путем. Воспроизведение распределения амплитуды в поперечном сечении
пучка ВКР полем накачки. В рассматриваемой конфигурации эксперимента плотность мощности накачки минимальна в объеме среды, прилагающем к входному и выходному окнам кюветы. Эксперимент показывает, что этот слой осуществляет передачу информации о распределении амплитуды накачки пучку ВКР. При плотности мощности накачки вблизи окон кюветы, достигающей уровня насыщения ВКР, воспроизведение амплитуды накачки в поле ВКР не имеет места.
Эксперименты с возбуждением ВКР в жидком азоте одномодовым лазером показали, что при BКР восстанавливается волна, близкая не только по амплитудным, но и по фазовым характеристикам к падающей. Однако только последующие эксперименты с восстановлением изображения при ВКР позволили установить точность воспроизведения амплитуды и фазы при ВКР и достаточно понять физику явления.
2.
Восстановление изображения при ВКР света
В работах /5-9/ было обнаружено, что введение в пучок лазерного излучения трехмерного полупрозрачного объекта сопровождается восстановлением его объемного изображения в пучках ВКР "вперед" и "назад". Экспериментальная схема с транспарантом принципиально не отличается от предыдущей схемы. Введение в оптическую схему транспаранта с определенными размерами неоднородностей позволяет регулировать относительную интенсивность пучков света разного порядка дифракции, что удобно для изучения свойств рассматриваемой своеобразной оптической системы и исследования природы восстановления изображения при В.Р.
В опытах использовалась в качестве объекта сеточка с толщиной проволоки 2-3 микрона и размерами ячеек 600 микрон. При В.Р. света восстанавливается нулевой порядок дифракции, соответствующий свету лазера, прошедшему объект без отклонения, и высшие порядки, возникающие в результате дифракции прямого лазерного пучка на краях объекта. Перекроем часть пучка ВКР непрозрачным экраном. В плоскости изображения, восстановленного при BКР, на закрытой экраном части видны контуры изображения,
которые строятся пучками высшего порядка дифракции, распространяющимися под углом к оптической оси (см.рис.3). Изображение, восстановленное при BPК, находилось на том же расстоянии от кюветы, что и объект, при BКР было смещено и изменено в поперечном масштабе.

Рис.3. Распределение почернении на фотопластинке в плоскости изображения объекта-сеточки, восстановленного при В.Р. "назад". Правая часть соответствует перекрытому пучку В.Р.
О голографической природе восстановленного изображения при вынужденных рассеяниях света В.Р. свидетельствуют следующие экспериментальные результаты. Изображение в пучке В.Р. восстанавливалось независимо от того, на каком расстоянии был расположен объект от кюветы; вне или внутри среды находились действительное изображение объекта, полученное с помощью линзы (см.рис.4). Увеличение и положение восстановленного в пучке ВКР изображения было таково, что минимумы и максимумы интерференционных картин пучка накачки и ВКР "назад" всегда совпадали с "входным" для лазерного излучения и "выходным" для ВКР окном кюветы. Зная из эксперимента положение и масштаб действительного изображения объекта
(¶
s), восстановленного при ВКР, по формуле линзы можно определить положение соответствующего мнимого изображения (ms), являющегося как бы источником восстановленных при ВКР волн. Можно принять, что пространственная интерференционная картина поля накачки создается парой точечных источников, один из которых совпадает с фокусом линзы (F), другой - с произвольной точкой (С') действительного изображения объекта. Тогда при ВКР "назад" интерференционная картина создается как бы другой парой источников, один из которых совпадает с соответ-
ствующей точкой (
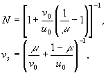
Cms) мнимого изображения (ms), положение другого не сложно определить из условия совпадения интерференционных картин ВКР и накачки вблизи выходного окна кюветы. Как показал эксперимент, увеличение изображения ¶
s всегда таково, что второй источник интерферирующих волн ВКР совпадает с фокальной областью линзы. В этом случае увеличение - N положение vs изображения ms в пучке ВКР описывается простыми соотношениями:
(1)
где
, λ0,
λs -
длины волн накачки и ВКР.

Рис.4. Схема восстановления изображения объекта в пучке ВКР "назад". Т-объект-транспарант, П-поворотная пластина, Л-линза, К-кювета, ¶
s- действительное изображение объекта, восстановленное при ВКР.
Полученные соотношения для увеличения изображения, восстановленного в пучке ВКР, совпадают с выражениями, известными в голографии для восстановления изображений с помощью плоской голограммы, при совпадающих источниках опорной и восстанавливающих
волн. Смещение кюветы вдоль оптической оси системы относительно пространственной интерференционной картины накачки приводит к изменению расположения минимумов и максимумов интенсивности в плоскости выходного окна кюветы. Соответственно менялось увеличение и положение восстановленного при В.Р. изображения, подчиняясь соотношению (1).
Опытные закономерности получают объяснение, если учесть распределение плотности мощности возбуждающего света внутри рассеивающего объема (см.рис.3). ВКР в основной возбуждается в фокусе линзы в области нулевой компоненты Фурье спектра объекта, освещенного лазерным излучением. В этой области концентрируется основная часть энергии (≈80%) лазерного излучения. Остальная часть энергии (≈20%) приходится на долю гармоник высшего порядка, строящих в плоскости изображения контуры сеточки. Если плотность мощности накачки велика и среда достаточно оптически однородна, в плоскости изображения на длине волны накачки остаются только контуры сеточки. Интенсивный же нулевой порядок отсутствует из-за преобразования его в ВКР.
Слабые по интенсивности гармоники высшего порядка в ВКР не преобразуются. Гармоники высшего порядка в спектре восстановленного изображения при ВКР появляются в результате дифракции ВКР света на усиливающих амплитудных голограммах, зарегистрированных в среде в результате модуляция усиления полем накачки вблизи окон кюветы, где плотность мощности возбуждающего излучения ниже ypoвня насыщения усиления. При насыщении усиления в этих слоях эффект восстановления изображения в пучке ВКР пропадает.
Толщина слоя эффективной дифракции и энергетическим интервал существования эффектов зависят от ряда причин. Кроме насыщения усиления существенное значение имеет степень оптической неоднородности среды. Экспериментальное сравнение толщины слоев эффективной дифракции осуществлено в средах, значительно отличающихся степенью оптической неоднородности: в монокристалла кальцита (марка "экстра" для призм Глана), охлажденном до температуры жидкого азота, и
жидком азоте.
Экспериментальное сравнение локализации в пространстве и
увеличения восстановленного при ВКР изображения позволило установить, что в среде с высокой степенью оптической однородности (монокристалле кальцита) толщина слоя эффективной дифракции (10-15 см) значительно превосходит толщину слоя эффективной дифракции в жидком азоте (2-5 см) в тех же условиях опыта. В среде с высокой степенью оптической однородности восстановление волнового фронта света имеет место как в направлении "вперед", так и
"назад", в близких энергетических интервалах. В среде существенно оптически неоднородной (жидком азоте) восстановление волнового фронта света ВКР "вперед" имеет место в интервале энергий накачки, значительно более узком, чем в кальците и чем при ВКР в жидком азоте "назад". При прохождении света сквозь оптически неоднородную среду волновой фронт ВКР и накачки существенно искажается из-за рассеяния на неоднородностях.
При ВКР "назад" восстановление происходит достаточно эффективно. С одной стороны, вблизи входного окна интерференционное поле накачки еще не искажено, вследствие преобразования света в вынужденные рассеяния, с другой - на некоторой глубине среды усиление ВКР в максимумах интенсивности накачки при встречных пучках, при распространении ВКР "назад" к входному окну. компенсирует искажения накачки.
3.
"Обращение" волнового фронта света при ВКР
Опыт показывает, что при определенных условиях (толщина слоя, освещенности, достаточной оптической однородности среды) имеет место явление восстановления волнового фронта света при ВКР "вперед" и "назад". Волновой фронт ВКР "вперед" с некоторой степенью точности воспроизводит волновой фронт лазерного излучения, падающего на среду. Волновой фронт ВКР "назад" является "обращенным" также с некоторой степенью точности (комплексно сопряженным) волновому фронту возбуждающего лазерного излучения, падающего на кювету с рассеивающим веществом. Ориентацию волновых фронтов при ВКР "вперед" и "назад" можно наблюдать, если поместить в пучок возбуждающего лазерного излучения несимметричный объект (см.рис.4). Из рисунка видно, что изображение, вос-
становленное в пучке ВКР "вперед", ориентировано так же, как действительное изображение объекта в пучке накачки, полученное с помощью линзы, фокусирующей лазерное излучение в вещество. "Отражение" от среды радикально отличается от отражения от обычного плоского зеркала, но подобно отражению от голографического зеркала /10/ (см.рис.4). Когда на кювету с веществом направляется лазерное излучение, то "назад" лазер возбуждает ВКР так, что возбуждающий падающий луч и "отраженный" почти совпадают. В плоскости восстановленного при ВКР изображения при отражении от окошка кюветы наблюдается амплитудная модуляция, соответствующая мнимому перевернутому изображению объекта. При "отражении" от среды восстанавливается действительно изображение, ориентированное точно так не, как объект. Т.е. волновой фронт при ВКР "назад" с некоторой степенью точности является комплексно-сопряженным падающему. Все не отличие в масштабе и рассогласование в пространстве волнового фронта ВКР и накачки весьма существенно и зависит от разницы длин волн возбуждающего и рассеянного света и от ряда других факторов. В связи с этим обычные методы анализа фронтов с помощью фазового элемента, используемые в динамической голографии /11/, не применимы к ВКР. Так, например, при расположении травленной в плавиковой кислоте стеклянной пластины близко к линзе, ее изображение в пучке ВКР смещается для исследованных сред на 5-10 см. Получение в указанных условиях данных о ВКР, идентичных данным о ВРМБ /12/, свидетельствует о непригодности такой методики изучения восстановления волнового фронта при ВКР. В частности, используя методику /12/, нельзя обнаружить голографическую природу явления и определить отличие волнового фронта ВКР от волнового фронта накачки. Своеобразная ориентация изображения при "отражении" от среды может быть использована как удобный способ выделения рассеянного света от отраженного от окошек кюветы с веществом или граней кристалла. Особенно этот метод удобен при малом смещении частоты рассеянного света (ВРМБ, ВРКР) относительно возбуждающего света.
Заключение о степени воспроизведения волнового фронта света при В.Р. можно сделать на основании анализа параметров (увели-
чения, контраста) восстановленного при ВКР изображения.
Опыт показывает, что степень точности воспроизведения волнового фронта зависит как от параметров среды (диэлектрической проницаемости, оптической однородности), так и от условий возбуждения (толщины слоя среды, энергии накачки, конфигурации освещенности, длительности импульса). Например, поскольку контраст интерференционной картины в среде нелинейно зависит от мощности накачки, то контраст изображения в пучке ВКР меняется с плотностью мощности накачки. При возбуждении BКР с помощью импульса пикосекундной длительности /13/ в слое циклогексана постоянной толщины изменение мощности от 15 до 50 МВг/см2 приводило к изменению контраста и увеличение изображения, восстановленного при ВКР, менялось в три раза. Одним словом, существуют оптимальные условия эксперимента, при которых восстановление волнового фронта света при ВКР оказывается наиболее полным. Непременным условием такого восстановления, как показал эксперимент, является существование направленного нулевого порядка дифракции (близкого по направленности к лазерному излучению) и наличие в среде слоя, играющего роль динамической голограммы. Для практических применении представляет интерес не только полное восстановление волнового фронта, но также возможность фильтрации частот в спектре объекта методами нелинейной оптики. Осуществление такой фильтрации, в принципе, возможно при восстановлении волновых фронтов света в средах, активных в В.Р.
В работе рассмотрена качественная модель явления восстановления волнового фронта света при ВКР, позволяющая объяснить все основные закономерности, наблюдаемые экспериментально. В настоящее время существуют теоретические работы /14-17/, в которых объясняются некоторые стороны явления восстановления, однако ряд известных важных экспериментальных факторов находится в противоречии с предлагаемыми объяснениями. Так, например, в работе /13/ модовая теория объемных голограмм, развитая в /17/, использована для объяснения восстановления волнового фронта при ВКР. Согласно /13/, эффект восстановления может наблюдаться при смещении частоты рассеянного света не более, чем 2000 см-1. На опыте восстановление наблюдается при значительно больших смещениях частот, и пока
экспериментальный предел смещения, при котором имеет место восстановление, не достигнут. Ни в одной теоретической работе также не учитывается особенность распределения освещенности внутри среды при возбуждении ВКР в режиме сверхсветимости одновременно с эффектом насыщения.
Следует отметить, что в принципе волновой фронт света может регистрироваться путем записи в среде, активной в ВКР, смешанных амплитудно-фазовых голограмм. Регистрация может быть связана не только с модуляцией усиления, но и с изменением действительной части диэлектрической проницаемости, т.е. показателя преломления /7,18/. Показатель преломления может меняться под действием лазерного излучения из-за высококачественного эффекта Керра, электрострикции, изменения поляризуемости молекул при возбуждении и т.д. По существу те же самые причины приводят к другому эффекту - самофокусировке света.
4.
Самофокусировка ВКР света
Эксперименталъные исследования широкого класса веществ с разными оптическими характеристиками и вероятностью комбинационного рассеяния света показали, что наблюдаемая картина развития самофокусировки света в средах с большим эффективным сечением комбинационного рассеяния радикально отличается от общепринятых представлений.
В средах с большим эффективным сечением комбинационного рассеяния плотность мощности излучения, необходимая для достижения дорога самофокусировки, достигается значительно раньше в пучке ВКP, чем в пучке возбуждающего лазерного излучения /1,19/. Это происходит вследствие двух основных причин: 1) экспоненциальный закон усиления ВКР приводит к уменьшению диаметра пучка ВКР, увеличению его яркости и когерентности при распространении в объеме, ограниченном пучком накачки с распределением интенсивности, убывающим от центра к краям; 2) мощность лазерного возбуждающего излучения падает, прежде всего в областях максимальной интенсивности, при преобразовании его в ВКР. Коэффициенты преобразования могут достигать 60-70%. В связи с этим необходимая для самофоку-
сировки мощность достигается раньше в пучке ВКР, чем в пучке лазерного излучения.
Самофокусировка в пучках ВКР и лазерного излучения развивается самостоятельно, независимо друг от друга /20,21/. Режим самофокусировки (число и размеры фокальных областей) в пучке ВКР зависит исключительно от мощности лазерного излучения, преобразованной в ВКР /3,21/.
Приведенные экспериментальные результаты не могли быть объяснены на основе представлений о возбуждении и распространении ВКР в нитях самофокусировки лазерного света. Предложенная в /22,24/ новая многофокусная картина распространения световых пучков в средах с керровской нелинейностью устранила целый ряд противоречий теории и эксперимента /23/. Согласно /22,24/ при больших коэффициентах преобразования, благодаря когерентности пучка ВКР, в нем образуется самостоятельная фокальная структура, независимая от многофокусной структуры возбуждающего излучения. Нашли объяснение особенности углового спектрального и временного распределения интенсивности ВКР в условиях, когда основная энергия BКР концентрируется в областях самофокусировки ВКР света. Получил объяснение экспериментальный результат, заключающийся в том, что при увеличении мощности ВКР фокальные области в пучках компонент ВКР, являющиеся вершинами конусов излучения, стоксовых и антистоксовых компонент высшего порядка, приближаются к выходному окну кюветы , при этом угол раствора конусов плавно увеличивается вплоть до значений, превосходящих углы типа Черенкова /20/.
5.
Заключение.
Результаты исследований показали, что вещества, активные в ВКР, можно разделить на три группы /3/. Группа А: вещества с большой постоянной Керра (K≈20 ед. CYSЕ), большим коэффициентом усиления (g≈1 см/Мвт) и отношением энергии ВКР при насыщении к энергии лазерного излучения (Es/Е0 10-1). Группа В: K близко к 0, g≈0,1 Мвт/см2 и Es/E0≈10-1. Группа С: вещества с малой постоянной Керра K≈10 ед. CYSE и величинами g≈0,01 Мвт/см2, Еs/E0≈10-3. Вещества типа А и В, имеющие большие величины g и Es/E0, несмотря на большую разницу постоянных Керра, имеют общие свойства. В пучке ВКР при максимальной его интенсивности наблюдаются фокальные области размером 10 ммк. Для этих веществ характерен скачок интенсивности при достижении определенной величины инкремента усиления. Однако целый ряд свойств для веществ типа А и Б различен. Сильно отличаются постоянные Керра, плотность мощности и суммарная энергия, сконцентрированная в фокальных областях минимального диаметра, много меньше в веществах типа В, отношение порогов ВКР для возбуждающего излучения с круговой и линейной поляризацией различно. Одинаковая мелкомасштабная фокальная структура BКР в веществах типа А и В и в то же время существенные отличия ряда важных свойств позволяют предположить, что основные механизмы, ответственные за изменение действительной части поляризуемости, в средах этих типов могут быть отличны. Теоретические оценки /25/ и сравнения с экспериментом в средах с малыми постоянными Керра дают результаты в пользу механизма, связанного с изменением поляризуемости молекул при возбуждении /19,26/. В веществах типа С точки самофокусировки диаметром 10 ммк возникают. Появление мелкомасштабной фокальной структура в пучке BКР характерно для веществ с большой величиной коэффициента преобразования лазерного излучения в ВКР. В средах группы А, где концентрация интенсивности в областях самофокусировки особенно велика, многофокусная структура в пучке ВКР нарушает эффект восстановления волнового фронта света при ВКР. Эффект существует лишь в небольшом энергетическом интервале. Если при таком же значении Еs/Е0 коэффициент усиления не очень велик, энергетический интервал существования восстановления расширяется. В средах групп В и С восстановление волнового фронта при В.Р. наблюдается в значительно более широком интервала энергий возбуждения, чем в средах группы А.
Таким образом, существуют оптимальные значения коэффициента усиления преобразования света в ВКР, величины нелинейной добавки к показателю преломления, при которых эффект восстановления волнового фронта наблюдается в широких энергетических пределах, а самофокусировка света не нарушает восстановления. Закономерности, полученные для ВКР, носят общий характер и справедливы для любых нелинейно усиливающих сред.
Л и т е р а т у р а
1. А.Д.Кудрявцева, А.И.Соколовская, М.М.Сущинский. ЖЭТФ, 59, 5, 1556, 1970. Kр.cooбщ. пo физ. 2, 32, 1971.
2. Б.Я.Зельдович, В.И.Поповичев и др. Письма ЖЭТФ, 15, 160, 1972. Б.И.Беспалов, А.А.Бетин, Г.А.Пасманик.Письма ЖЭТФ, т.5, 215, 1977.
3. Ж.Газенжель, А.Д.Кудрявцева, Ж.Ривуа, А.И.Соколовская. ЖЭТФ, 71, 5 (11), 1748, 1976.
4. С.А.Ахманов, Г.А.Ляхов. ЖЭТФ, 66, 96, 1974.
5. А.И.Соколовская, Г.Л.Бреховских, А.Д.Кудрявцева. ДАН СССР, 233, 3, 356, 1977.
6. А.И.Соколовская, Г.Д.Бреховских, А.Д.Кудрявцева. ДАН СССР, 237, 3, 557,1977.
7. Г.Л.Бреховских, А.И.Соколовская. Кр.сообщение по физ., 12, 32, 1977.
8. Г.Д.Бреховских, А.И.Соколовская, Н.В.Окладников. К.С.Ф.1, 8, 1979.
9. А.И.Соколовская, Г.Л.Бреховских. ДАН СССР, 243, 3, 630, 1978.
10. Ю.Н.Денисюк. ДАН СССР, 144, 1275, 1962. Опт.и спектр., 15, 522, 1963.
11. Б.И.Степанов, Е.В.Ивакин, А.С.Рубанов. ДАН СССР, 196, 567, 1971.
12. Б.Я.Зельдович, М.А.Мельников и др. Письма ЖЭТФ, 25, 1, 41, 1977.
13. A.D.Kuryavtseva, A.I.Sokolovskaya et al.Opt.Comm, 26, 446, 1978.
14. Ю.H.Дeниcюк. ЖЭТФ, 44, 131, 1974, ЖЭTФ, 49, 97, 1979.
15. Ю.И.Островский. Письма ЖЭТФ, 5, 769, 1979.
16. М.М.Сущинскйй. КСФ 10, 13, 1979.
17. В.Т.Сидорович. ЖТФ, 46, 1306, 1976.
18. П.А.Апанасевич, А.А.Афанасьев, А.И.Урбанович. Кв.Электр., 2, 2423, 1975.
19. А.Д.Кудрявцева, А.И.Соколовская, М.К.Сущинский. Кв.электр., 7, 73, 1972.
20. Е.А.Морозова, А.И.Соколовсвая, М.М.Сущинский. ЖЭТФ, 6, 2161, 1973.
21. А.Д.Кудрявцева, А.И.Соколовская. Кв.влектр., 1, 4, 946, 1974.
22. А.Л.Дышко, В.Н.Луговой, А.М.Прохоров. Письма ЖЭТФ, 61, 2306, 1971.
23.
В.В.Коробкин, В.Н.Луговой, А.М.Прохоров, Р.В.Серов. Письма ЖЭТФ, 16, 5951, 1971.
24. A.L.Dyshko, V.N.Lugovoi. Optica Acta, 23, 6, 483, 1976.
25. В.С.Бутылкин, А.Е.Каплан, Ю.Г.Хронопуло. ЖЭТФ, 59, 921, 1970.
26. Г.В.Венкин, Л.А.Кулюк и др. Кв.электр., 8, 1888, 1974.