|
|
 |
 |

|
| |
ЯВЛЕНИЕ САМОРЕПРОДУКЦИИ (ЭФФЕКТ ТАЛБОТА)
В ГОЛОГРАФИИ
А. Марипов
Приведены результаты теоретического и экспериментального исследования эффекта Талбота в голографии. Показано, что при освещении монохроматическим светом отбеленной голограммы периодических объектов, записанных по внеосевой схеме, в области действительного изображения одновременно восстанавливаются саморепродукции решетки не только в лучах ±
I порядков, но и в нулевом порядке дифракции.
В голографии эффект Талбота изучен еще слабо. В работах /1,2/ экспериментально проверена возможность саморепродукции периодической решетки с ее голограммы. В этих экспериментах голограммы одномерной решетки записывались по внеосевой схеме. При этом плоскость голограммы точно совпадала с одной из плоскостей саморепродукции. Последнее контролировалось с помощью вращающегося в плоскости голограммы матового стекла и наведенного на него микроскопа увеличением 100х. В /2/, в отличие от /1/, изучена саморепродукция периодической решетки с ее голограммы не только в области мнимого, но также и в области действительного изображения. Для этого в схему записи и восстановления голограммы вводится второй опорный пучок, сопряженный первому. Голограммы периодической решетки записывались на фотопластинку и обрабатывались на месте. Такие голограммы освещались исходными опорными пучками. Поскольку интенсивность восстановленных изображений была очень слабой, измеренный сигнал усиливался с помощью опто-электронного преобразователя в I000 раз и записывался на фотопленку. Найденные таким образом
- 41 –
положения саморепродукций решетки, восстановленных с голограммы в областях мнимого и действительного изображения, сравнивались с положениями плоскостей саморепродукций самой решетки, измерения показали равенства периодов саморепродукций самой решетки, восстановленных с голограммы и найденных теоретически.
Здесь приведены результаты теоретического и экспериментального исследований эффекта Талбота в голографии в более общем случае. Голограммы периодической решетки записываются по обычной внеосевой схеме, но, в отличие от /1,2/, расстояние от объекта до плоскости голограммы произвольное. Обнаружено, что саморепродукция решетки восстанавливается одновременно в области действительного изображения не только в ±
1 порядках, но и в направлении нулевого порядка дифракции.
Рассмотрим запись голограммы одномерной амплитудной решетки при произвольном ее расположении относительно плоскости голограммы с помощью плоских волн - предметной и опорной , соответственно, падающих под углом θ к оси и перпендикулярно к плоскости голограммы. Коэффициент пропускания такой решетки с прозрачностью щелей и промежутков равными, соответственно, 1 и 0 можно представить /3/

где - постоянная составляющая коэффициента пропускания, - дифракционная составляющая с ненулевой пространственной частотой, , d - период решетки в единицах длины. На некотором расстоянии от решетки предметная волна определяется выражением:

где а = U0t0, an = U0tn, , и - амплитуда и фаза когерентного фона, и - амплитуда и фаза дифрагированных волн, а непосредственно за решеткой она равна

- 42 -
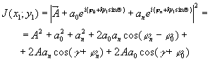
Интенсивность света, падающего на фотопластинку, определяется уравнением
(3)
где - фаза предметной волны, зарегистрированной на голограмме, . В этом выражении имеется три интерференционных члена: первый член описывает голограммы Габора; второй член соответствует голограмме Френеля; третий член представляет собой интерференционную картину параллельных линий (одномерную периодическую решетку), локализованных на самой голограмме с пространственной частотой . В случае комбинаций сферических и плоских фронтов предметной волны такая интерференционная картина представляет собой зонную решетку Френеля. Она одновременно является положительной и отрицательной линзой. При выполнении условия линейности регистрации и обработки голограммы ее коэффициент пропускания пропорционален , то есть выражение (3) с точностью до постоянного множителя описывает функцию амплитудного пропускания голограммы объекта

где
.
- 43 -
Такая голограмма отбеливается. При этом фоновые изображения устраняются, амплитуды интерференционных членов принимают постоянные значения по всей плоскости голограммы.
Рассмотрим процесс восстановления такой голограммы. При освещении ее исходным опорным пучком , волна за голограммой H распределяется по трем направлениям - прямом и под углами (рис.1). Волна, идущая в прямом направлении, равна , а ее интенсивность будет определяться формулой
(4)
где знак (*) означает комплексно сопряженную величину. Первый

Рис.1. Оптическая схема записи голограммы.
 и второй члены описывают фон, а третий член определяет восстановленные мнимое и действительное изображения объекта, как в голограмме Габора. Интенсивность полей в направлении 1 порядка дифракции соответственно, равна:
- 44 -
(5)
(6)
В выражениях (5,6) компоненты описывают обычные мнимое и действительное изображения объекта, восстановленные, соответственно, в ±
1 порядках дифракции. Компоненты описывают зонную решетку Френеля, локализованную на самой голограмме. Вследствие этого при освещении такой голограммы белым светом на самой голограмме восстанавливается радужное изображение объекта.
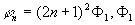
Отдельно рассмотрим компоненты в выражениях (5) и (6), ответственные за возникновение эффекта Талбота. Определим положения плоскостей саморепродукции решетки в направлении ±
1 порядков:
В направлении +1 порядка изображение решетки описывается компонентом
(7)
где - состояние фазы предметной волны, записанной на голограмме, определяемой формулой (5), - изменение фазы восстановленной волны относительно голограммы. Знак (-) в экспоненте указывает на перенос мнимого изображения в действительную область пространства.
- 45 -
Аналогично изображение решетки, переносимое в направлении I порядка, описывается компонентом интенсивности
,(8)
где
В плоскостях, удовлетворяющих условиям выражения (7) и (8), с точностью до постоянных множителей, будут совпадать с ,описывающим изображения решетки непосредственно за ней. При этом фаза восстановленных волн отсчитывается относительно голограммы с учетом состояния фазы предметной волны, зарегистрированной в голограмме. Следовательно, положения плоскостей саморепродукции решетки за голограммой зависят от относительного положения объекта и голограммы при ее записи, а также от направления дифрагированного луча, куда переносятся изображения решетки. Изменение фазы волны на равносильно прохождению ею расстояния, равного периоду саморепродукции ΔZ.
Эксперименты проводились с одномерной амплитудной решеткой периодом d = 500 7 мкм, изготовленной фотографическим способом. При этом период саморепродукции решетки, согласно формуле равен ΔZ = 79,2 см (λ = 0,63 мкм). При записи голограммы, в отличие от /2/, расстояние Z1 между решеткой и плоскостью голограммы было произвольным. Полученные голограммы освещались плоской монохроматической волной, падающей нормально и голограмме (рис.1). При этом, кроме традиционных действительного и мнимого изображений решетки (на рисунках не показаны), на определенных расстояниях соответствующих +1 и -1 порядкам дифракции, одновременно
- 46 -
временно восстанавливались саморепродукции решетки у наблюдаемые на экранах, помещенных на пути этих волн. Эффект Талбота наблюдался также в прямом направлении на сильном фоне волны нулевого порядка. На рисунке положения плоскостей саморепродукции, позитивных и негативных изображений самой решетки обозначены через SI и SI’, а восстановленные с голограммы - через SIH и SIH’ соответственно (О’ - положения объекта при записи голограммы). Рис.1. соответствует условию записи
.
При этом положения плоскостей саморепродукции выражались как

Отсюда следует, что положения плоскостей саморепродукции в разных направлениях неодинаковы, первое восстановленное изображение в направлении -1 порядка позитивное, а в направлении +1 порядка оно негативное, далее чередуются позитивное с негативным и наоборот. Пространственные спектры восстановленных изображений решетки

- 47 -
в направлениях +1, О, -1 порядков дифракции показана, соответственно, на рис.2. Эти спектры получены по схеме Аббе /З/.
Таким образом, экспериментально подтверждено, что при освещении монохроматическим светом отбеленной голограммы периодической решетки одновременно восстанавливаются саморепродукции решетки не только в лучах ±1 порядка, но и в нулевом порядке дифракции.
Литература
1. Konitz H - Optik, 1984, v 66, №3, p.197 – 204.
2. Konitz H - Optik, 1985, v 69, №3, p.91 - 93.
3. Борн М., Вольф Э. Основы оптики. М., "Наука", 1970, с. 855.
|
|
|
|
|
 |
 |
 |
 |
|
Copyright
© 1999-2004 MeDia-security,
webmaster@media-security.ru
|
|
|