НОВЫЕ МЕТОДЫ ЗАПИСИ ГОЛОГРАММ
Ш.Д.Какичашвили
1. МЕТОДЫ ЗАПИСИ БЕЗ СПЕЦИАЛЬНО
ФОРМИРУЕМОЙ ОПОРНОЙ ВОЛНЫ
1. Сверхкороткая
регистрация поля объекта
В существующих методах голографической записи
оптического изображения используется когерентная опорная волна,
позволяющая однозначно зафиксировать поле, рассеянное объектом
/1-3/. Можно, однако, показать принципиальную возможность
голографической записи без опорной волны посредством сверхкороткой
регистрации волнового возмущения, вызванного лишь объектом.
При этом неопределенность знака вектора электрической напряжённости,
регистрируемого на поверхности детектора, не приводит к необратимой
потере информации. Зафиксированная таким путём картина несёт
достаточно полную информацию об объекте и позволяет воссоздать
его голографически.
Рассмотрим произвольный
объект, формирующий
поле,
ξ=a(x0,y0,z0)cos(ωt-κr).
(1)
Проведя запись интенсивности
в течение времени Δt
на светочувствительном слое, установленном в плоскости
z = о (рис.1),
получаем распределённые прозрачности в виде:

Воспользовавшись дифракционной формулой Кирхгофа,
приближенно имеем:

Здесь
v'(x',y',z')
- амплитуда поля в произвольной точке х',
y', z'; v(x,y)-
поле непосредственно за прозрачностью. В параксиальном приближении:

где х0,
y0, z0
- координаты произвольной точки объекта, имеем:

В первом члене
выражения информации об объекте не содержится. Это фактически
нулевой пучок, который выбором области s
может быть отделен от полезного сигнала.
Для второго члена
при z'=z0/2
имеем:

Рис.1.

Последний интеграл
имеет характер импульсной функции, превращаясь на полубесконечной
области в δ+
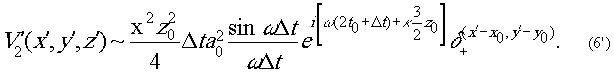
-функцию. Окончательно имеем:

Из (6') следует, что поле модулировано по
фазе аналогично объекту, за исключением фазового слагаемого

из имеющего принципиального значения. Выражение
(6') описывает мнимое изображение объекта. При этом имеет
место сжатие продольных масштабов в два раза.
Аналогично для третьего
члена (5) при z'=-z0/2:

Выражение (7) описывает
действительное изображение объекта. Амплитуда сформированных
таким путём изображений пропорциональна
,
что при необходимости может быть учтено и скорректировано.
Аналогично можно рассмотреть
запись на поверхностном детекторе, реагирующем на модуль амплитуды.
Разложив в ряд Фурье косинус выражения (1), взятый в интервале(-π/2,
π/2) , κонструируем положительную функцию:

Использование (8) вместо
(1) описывает факт реагирования детектора лишь на абсолютное
значение напряжённости поля. Проведя запись амплитуды в течение
времени Δt, получаем распределение прозрачности в виде:

Подобная структура
при дифрагировании на ней плоской волны аналогично (2) формирует
на расстоянии z0/2
мнимое изображение объекта, а на расстоянии -z0/2
- действительное. Кроме того, одновременно формируются побочные
изображения на расстояниях ±z0/4,
±z0/6 и
т.д. Возникновение последних связано с несинусоидальным характером
пропускания полос на голограмме.
Оценим влияние промежутка
регистрации Δt
на интенсивность воссоздания.
Амплитуда реконструированной
волны пропорциональна глубине пространственной модуляции ε
голограммы, равной sinωΔt/ωΔt. Последняя
величина при Δt→0
стремится к 1.
При этом формируется изображение максимальной яркости. При
увеличении Δt глубина модуляции уменьшается и периодически
становится экстремальной. Амплитуда сформированного изображения
соответственно уменьшается. Так, например, при Δt = 0,25∙Т,
ε = 0,64; οри
Δt = 2,24∙Т, ε = 0,07, а при Δt
= 8,25 • Т,
ε = 0,02.
Наиболее перспективной областью применения
рассмотренного метода представляется голография упругих волн,
для которых формировка опорной волны связана с серьёзными
трудностями /4/.
В оптическом диапазоне электромагнитных волн
развитый подход также может представить практический интерес
при использовании генераторов света субпикосекундной длительности
/5/.
2. Голографическая
запись в трёхмерных средах
Чрезвычайно перспективной представляется другая
возможность голографической записи без опорной волны, заключающаяся
в использовании трёхмерной среды в качестве голографического
носителя.
kogelnik
/6/ в 1967 году была показана возможность полного подавления
действительного изображения, а также нулевого луча при воссоздании
в трёхмерной голограмме, что было использовано для увеличения
дифракционной эффективности.
Возможность подавления действительного изображения
может быть получена из рассмотрения следующей упрощённой модели.
Пусть интерференционное
взаимодействие двух плоских волн s0
и s1,
встречающихся под углом ω, регистрируется в объёме q
(рисунок 2). В
области максимума интенсивности запишутся в виде системы поверхностей,
ориентированных по биссектрисе угла встречи пучков. При реконструкции
волной s0
свет дифрагирует на передней границе объёма. При этом образуются
реконструированный луч, ориентированный под углом ω,
и симметричный ему - под углом -ω. Дифрагированный под
углом ω
λуч встречается на соседней плоскости со следующим лучом,
дифрагированным под тем же углом; при этом, как легко показать:
разность хода оказывается λ и амплитуды складываются.
Луч же, дифрагированный под углом - ω, встречается на
соседней плоскости с аналогичным лучом с разностью хода

Суммарная амплитуда
системы подобных лучей, распространяющихся как бы в многослойном
зеркале /7/ оказывается меньше, чем для первого случая. В
частности, при ω=60° лучи оказываются в противофазе,
пучок в направлении -ω подавляется и энергия перераспределяется
под углом ω.
Факт подавления действительного изображения
был использован в работе Аристова, Лысенко, Тимофеева и Шехтмана
/8/ для создания голограмм в трёхмерных средах без опорной
волны. Изображения, записанные посредством подобных голограмм,
реконструируются произвольным освещённым фрагментом исходного
объекта и оказываются

Рис.2.
полностью свободными от помех. Неудобства,
связанные с необходимостью использования для реконструкции
фрагмента самого объекта, в значительной степени могут быть
преодолены записью голограммы в фокусированном режиме. При
этом должна быть использована оптическая система, позволяющая
сфокусировать всю голографируемую сцену в заданном объёме
светочувствительного носителя.
На рис.3а объект М
фокусируется посредством системы l
в объеме q.
Каждая точка изображения образуется в результате интерференции
системы лучей, прошедших разные зоны апертуры фокусирующей
системы. После записи при осуществлении реконструкции одного
из лучей воссоздаётся вся система лучей, формирующих



Рис.3.
изобретение объекта
(рис.3б). Систему реконструирующих лучей можно успешно имитировать
и без использования самого объекта. С этой целью в фокусе
l в смещённой
от оси точке формируется точечный источник света (рис.3в).
Выходящая из l система лучей пересекает голограмму объекта,
при этом для каждой точки сфокусированного изображения реконструирующий
луч имеет направление одного из лучей объектного и, следовательно,
воссоздаёт систему остальных лучей.
В области, свободной от прямого пучка, за
голограммой, возможно наблюдение трёхмерной реконструкции
сфокусированного изображения объекта.
Возможны и другие схемы формирования подобного
псевдоопорного пучка. Полученная таким путём голограмма оказывается,
кроме того, некритичной относительно протяжённости и монохроматичности
реконструирующего света, что вообще свойственно фокусированному
режиму голографирования /9/.
3. Некогерентная
запись в трёхмерной среде
Любопытную иллюстрацию некритичности записи
объёмных характеристик объекта относительно когерентности
являет собой фокусированная запись в трёхмерной среде, используя
достаточно широкоапертурный объектив и трёхмерный объём светочувствительного
материала с достаточно контрастной характеристикой, возможно
проведение записи и воспроизведения произвольной трехмерной
сцены в некогерентном белом свете. Эта возможности, по-видимому,
не привлекла к себе достаточного внимания.
В самом деле, поскольку
плотность поля в точках некогерентных изображений М'1,
М'2 максимальна
(рис.4а), то, подобрав достаточно контрастный материал, можно
вызвать максимальную реакцию светочувствительного вещества
лишь в не посредственной близости М'1,
М'2.
Запись может быть проведена на светочувствительном материале,
фиксирующем негативное изображение с последующим химическим
или оптическим обращением, или же использованием предварительно
окрашенного материала /10/,
формирующего при обесцвечивании пози-


Рис.4.
тивное изображение, и воссозданием в обратном
ходе лучей сквозь возникшие прозрачные коридоры.
Подобная методика способна смоделировать трёхмерный
характер сцены и дает возможность воспроизведения при обычном
освещении.
Искажения пространства изображений при необходимости
могут быть скомпенсированы линзовой системой (рис.4б).
4. Акустическая
голография без опорной волны
Двухлучевые голографические методы записи
и воссоздания оптического изображения были распространены
на область акустических волн /11/. При этом формирование опорной
акустической волны связано с рядом серьёзных трудностей. Однако
можно показать, что наличие опорной волны не является необходимым,
если в качестве голограммы использовать граничную поверхность
среды, в которой распространяется акустическая волна.
На рис.5а НН' - граница двух сред, в нижней
из которых распространяется упругая волна длины λ, сформированная
произвольным акустический объектом:
ξ=ξ0(x0,y0,z0)cosk[vt-r(x0,y0,z0,x,y,z)+α(x0,y0,z0)].
(1)
Поверхность Нh'
оказывается деформированной бегущей акустической волной, что
модулирует фазу отражённой от поверхности световой волны длины
λ'.
Для малого удельного акустического сопротивления
верхней среды и достаточно удалённого акустического объекта,
игнорируя изменение формы волны, имеем
Δξ~2ξ0cosk(vt-r+α).
(2)
В этих условиях амплитуда отражённой световой
волны непосредственно у поверхности есть
u(x,y)=ρexpiΔξ,
(3)
ρ - амплитудный
коэффициент отражения на границе раздела.
Используя дифракционную
формулу Кирхгофа, можно рассчитать поле в произвольной точке
х', y' , z'
(рис.5б). Для достаточно удаленных точек имеем

где

Разложение expiΔξ
в ряд по бессолевым функциям и использование только первых
трёх членов, вносящих основной вклад, даёт

Легко видеть, что в первом члене разложения
информации об объекте не содержится. Это по сути неотклонённый
пучок, который соответствующим выбором области 5 может быть
отделен от полезного сигнала.
Анализ второго члена
показывает, что для z'=z0λ/λ'
он равен:

Последний интеграл
имеет характер импульсной функции, превращаясь на полубесконечной
области в δ+ -функцию.
Окончательно имеем

Из (6')
следует, что оптическое поле модулировано по фазе аналогично
акустическому объекту с дополнительным фазовым членом
,
связанным с масштабной трансформацией картины, а амплитуда
оказывается пропорциональной i1(ξ0),
линейность которого для малых ξ0 обеспечивает
формирование изображения. По сути это визуализированное мнимое
изображение акустического объекта.
Третий член может
быть рассмотрен аналогично. Для z'=-zλ/λ' имеем;

Выражение (7) описывает
визуализированное действительное изображение акустического
объекта.

Вышеизложенное справедливо
и для нестационарного случая, когда характерный период флуктуации
акустической волны не меньше промежутка времени, требуемого
при прохождении фронта волны от одной крайней границы области
s
до другой.
ii.
ТРЁХСТУПЕНЧАТАЯ ГОЛОГРАФИЧЕСКАЯ ЗАПИСЬ НЕКОГЕРЕНТНЫХ ИЗОБРАЖЕНИЙ
Поулем /1/ впервые было предложено объединение
методов голографии /2/ и интегральной фотографии /3/, позволяющее
относительно просто фиксировать объёмную информацию в некогерентном
свете. Получение изображения при этом проводится в три этапа.
1. Посредством линзово-растровой системы в
некогерентном свете одновременно регистрируется ряд элементарных
позитивных изображений объекта с дискретных позиций, определяемых
размерами растра.
2. При освещении лазером полученный позитив
в обратном ходе лучей формирует интегральное изображение,
которое голографируется с использованием опорного пучка, направленного
со стороны объектного /4/ или же ему навстречу /5/.
5. При реконструкции в когерентном свете в
первом случае /4/ воссоздаются одновременно два изображения:
зеркально-псевдоскопическое (относительно реального объекта),
соответствующее голографируемому интегральному изображению,
и зеркально ортоскопическое, возникавшее в виде инверсии голографируемого
фронта. Во втором случае /5/ формируется также два изображения:
зеркально-псевдоскопическое, соответствующее голографируемому
фронту, и нормально-ортоскопическое, возникающее при повороте
голограммы на 180° и инверсии угла падения реконструирующего
пучка. Последний случай интересен тем, что возможно получить
одноцветные воссоздания, используя брегговское отражение с
селекцией длин волн /6/.
В настоящей работе используется схема фокусированного
голографирования /7/ интегрального изображения, которая представляется
эффективной ввиду возможности получения малогабаритных объ-
ёмных изображений с наиболее рациональным
расположением выходного
зрачка и выходного люка. Кроме того, некритичность
сфокусированных
голограмм относительной спектральной ширины
воссоздающего света /8/ позволяет получать яркие воссоздания
в белом свете без заметной хроматической окраски.
С целью экспериментальной проверки была проведена
запись и воспроизведение объемных сцен значительной протяженности,
а также живых объектов. Как запись, так и реконструкция проводились
в белом свете.
На рис.6 изображена
схема голографирования интегрального изображения посредством
фокусирующей системы l.
Для простоты берётся точечный источник, интегральное изображение
которого s'
синтезируется растровой системой r
на расстоянии а, а после прохождения фокусирующей системы
формируется в s'
на расстоянии а'.
Голограммная пластина q
установлена в фокусе нормально к опорному пучку. При реконструкции
(рис.7) возникает изображение s'rec,
соответствующее голографируемому источнику s',
и псевдоскопическое относительно него изображение
srec,
являющееся ортоскопическим и зеркальным относительно реального
объекта. Зеркальность изображения исправляется поворотом голограммы
на 180°.
Плоскость голограммы в описанной схеме служит в качестве выходного
люка системы, что позволяет достичь максимального поля зрения.
Область вблизи r'
, где формируется изображение выходного зрачка растровой системы,
является наиболее выгодной для расположения наблюдателя. При
этом искажении перспективы пространства изображений, обычно
свойственного линзовым системам, не наблюдается. В самом деле,
для видимого увеличения воссозданного изображения в приближении
параксиальной оптики имеем

где v-линейное увеличение
фокусирующей системы, k -.расстояние
от наблюдателя до воссозданного изображения.
Очевидно, для к =
а' последнее выражение равно единице и голограмма создаёт
естественное впечатление. Для произвольных же k
из-за линейности (1) относительно а'
будет наблюдаться подобное преобразование масштаба без нарушения
перспективы.

Рис.6.
Размер хроматического пятна при освещении
фокусированной голограммы параллельным пучком белого света
может быть получен в виде (рис.8):

а α- угол наклона голограммы к оптической
оси, β- апертурный угол луча.
Для получения удовлетворительного изображения
выражение (2) не 'должно превышать некоторого критического
значения ρ, связанного с разрешающей способностью системы
наблюдения:


Рис.7.
Коли, кроме того, зрачок Р наблюдательной
системы n удовлетворяет условию~

то весь диспергированный пучок перехватывается
системой наблюдения, формирующей аддитивно белое изображение
реконструированной
точки.
Условия (3) и (4) сравнительно просто могут
быть реализованы на практике.

Рис.8.
В качестве экспериментальной
растровой системы была использована линзовая мозаика из 500
плосковыпуклых линз диаметром 1,5 мм и f' =3 мм,
наклеенных на плоскопараллельную стеклянную подложку. Геометрические
размеры растровой системы составляли 100х10 мм. Съёмка проводилась
на мелкозернистых пластинках типа Микрат-500. После обратимой
обработки /9/ пластинка с позитивными изображениями устанавливалась
в исходное положение относительно растра и в обратном ходе
лучей при использовании he-ne
лазера ОКГ-11 проводилось фокусированное голографирование
интегрального изображения посредством системы с
f'=250 мм.
Стереопара объёмного портрета человека была
получена на описанной экспериментальной установке. Реконструкция
проведена в белом свете макальной лампы СЦ-61. Голограммы
были отбелены /10/.
Были проведены также
эксперименты по созданию мелкоструктурных фокусирующих систем
посредством регистрации интерференционного взаимодействия
четырёх перекрывающихся когерентных пучков. Полученная таким
путём "голограмма'' имеет вид прямоугольной сетки с синусоидальным
изменением прозрачности. После отбеливания фоточувствительного
слоя образуется рельеф в виде чередующихся выпуклых и вогнутых
областей. Путём подбора экспозиции и контрастных свойств фотослоя
достигалось изменение профиля рельефа, который становился
похожим на |cosx| .
iii.
СПЕЦИАЛЬНЫЕ СХЕМЫ ГОЛОГРАФИЧЕСКОЙ ЗАПИСИ
1. Круговое
голографирование
Объёмный характер реконструкции
голографического изображения с наибольшей полнотой выявляется
при записи поля, рассеянного объектом со всех сторон /1-3/.
Подобная запись была проведена фирмой Белл
на плоской пластинке. При постоянно направленной опорной волне
каждый ракурс объекта голографировался на одной узкой вертикальной
полосе фотопластинки. Голограмма оказывалась состоящей из
последовательности узких голограмм различных ракурсов объекта.
Перемещение наблюдателя по горизонтали создаёт впечатление
поворачивания объекта.
В других более полно фиксирующих объект схемах
сцена окружается фотоплёнкой, а опорная воина формируется
отраженной от конической поверхности, что обеспечивает наличие
опорного пучка для всех азимутов.
Рассмотрим одну из последних схем, представляющуюся
достаточно удобной и перспективной.
Лазерный луч попадает в верхний сполировичный
торец стеклянного конического тела вращения (рис.9), проходит
сквозь него и, частично отразившись от поверхности плосковыпуклой
линзы, скле-

Рис.9.
еннной с нижним торцом,
попадает на металлизированные конические грани Аb и
cd. Отразившись
от них, свет проходит грани de
и af
. Сформированный таким путём опорный пучок попадает на кольцо
плёнки, окружающей объект. Большая же часть света, пройдя
плосковыпуклую линзу, освещает голографируемую сцену и после
рассеяния также попадает на плёнку, фиксирующую интерференционное
взаимодействие.
Схема оказалась конструктивно удобной. С её
помощью удалось записать на плёнке шириной 10 см голографируемое
поле диаметром 40 см. Не представляется технически сложной
запись объёмных сцен, протяжённостью по крайней мере в два-три
раза большей.
2. Панорамное
голографирование
Другой интересной возможностью использования
голографии является запись объёмной сцены, окружающей голограмму
со всех сторон.
На рис.10 изображена схема подобной записи.
Сколлиморовочный лазерный пучок расщепляется на покрытой частично
прозрачной металлизированной поверхности стеклянного конического
тела. Отражённая часть света служит для освещения объектов,
окружающих голограммную плёнку, свёрнутую кольцом. Прошедшая
же часть пучка

Рис.10.
преломляется на гранях
ad и
cd и параллельным
пучком направляется к зеркалу f,
отражается от него и ещё раз, отразившись от ad
и Сd,
падает на голограммную плёнку q,
изнутри образуя опорный пучок, интерференция которого с объектным
записывается одновременно по схеме встречных пучков и падающих
с одной стороны. Выбором расстояния зеркала f можно скомпенсировать
разность хода объектного и опорного пучков. При записи по
описанной схеме реконструкция может быть наблюдаема как изнутри
голограммного кольца, так и извне.
3. Голография
опорными пучками цилиндрической симметрии
Относительная малость общей энергии, излучаемой
современными лазерами непрерывного действия значительно ограничивает
возможность воссоздания голографического изображения, снятого
на крупноформатном материале. Последнее очевидно, поскольку
с увеличением размера голограммы яркость воссоздания уменьшается
пропорционально площади.
Выход может быть найден в использовании мощных
квазимонохроматических источников света, так как процесс реконструкции
изображения сравнительно малокритичен относительно спектральной
ширины и протяжённости реконструирующего источника.
Ещё большего повышения яркости воссоздания
можно достичь, используя при записи цилиндрический опорный
пучок. Подобные голограммы возможно воссоздавать квазимонохроматическим
светом с линейным источником, успешно имитирующим цилиндрическую
волну.
Таким путём удаётся повысить яркость реконструкции
более чем на порядок, что является удачным выходом из положения
при создании демонстрационных голограмм и в ряде прикладных
задач.
Л и т е р а т у р а
1. r.v.pole. appl.phys. letters, 10,
20 (1967).
2. d.gabor. j.appl.phys,, 19, 1191
(1948).
3. g.lippman. comp.rend., 146, 446
(1908).
4. e.n.leith, j.upatnieks. josa, 51,
1469 (1961).
5. Ю.Денисюк.
ДАН СССР, 144. 1275, 1962.
6. g.w.stroke, a.f.labeyrie. phys.lett., 20,
4, 368 (1966).
7. l.h.tanner. j.sci. iustrum., 43,
378 (1966).
8. Ш.Д.Какичаiвнли.
Жgc,
12, №3, 1970.
9. Справочник
фотолюбителя, М., "Искусство'', 1964.