ВОЗМОЖНОСТИ ИСПОЛЬЗОВАНИЯ ГОЛОГРАФИЧЕСКИХ МЕТОДОВ В МНОГОРАКУРСНЫХ ТЕЛЕВИЗИОННЫХ СИСТЕМАХ
П.М.Копылов, А.Н.Тачков
В статье анализируются возможности построения телевизионных систем воспроизведения многоракурсных изображений с использованием конечного числа ракурсов съёмки передаваемого объекта и голографической селекции их на приёмной стороне.
Рассматриваются особенности формирования объёмного изображения в указанных телевизионных системах.
Приводятся результаты эксперимента.
Исследования принципов голографии применительно к построению многоракурсных телевизионных систем показали, что передача по телевизионному тракту информации об отдельных участках голографической структуры в настоящее время по многим причинам представляется нецелесообразной /1,2/, так как не упрощается задача создания голографического телевизионного приёмного устройства.
Это кодирование, обусловленное особенностями голографического метода. Приводит к значительному расширению необходимой полосы частот для воспроизведения изображений одинакового качества. Четырёхкратное увеличение определяется тем обстоятельством, что визуальная разрешающая способность в когерентном свете в два раза хуже, чем в обычном. Примерно такой же проигрыш получается из-за необходимости увеличивать в два раза углы между интерферирующими лучами для устранения влияния шумов - результата низкочастотной дифракции.
Передача и воспроизведение конечного числа
|n=nxny| отдельных участков голографической структуры (рис.1) обеспечивает наблюдателю возможность рассматривать изображение с некоторого

Рис.1. Выборочная передача отдельных участков голограммы:
n
х- выборки по горизонтали,
n
у- выборки по вертикали.
конечного числа фиксированных позиций (как по горизонтали
nx, так и по вертикали ny). Объемность воспроизводимого изображения будет восприниматься наблюдателем таким образом, что конвергенция глаз будет находиться в согласии с его аккомодационными усилиями. Если возможно допустить разрыв конвергенции и аккомодации глаз, что обычно и имеет место при рассматривании объёмных изображении в системах воспроизведения со стереопарами, то передача голографичесной информации теряет смысл. Можно передавать n=nx обычных изображений, а на приёмной стороне использовать либо методы интегральной фотографии, либо какие-то другие методы для воспроизведения объёмных изображений с сохранением возможности их оглядывания в горизонтальном направлении. В этом случае использование голографии только на приёмной стороне может оказаться весьма эффективным.
Съёмка изображений, подлежащих телевизионной передачи, призводится системой объективов. Последняя представляет собой горизонтальный или дугообразный ряд из объективов, смещённых один относительно другого на некоторое расстояние
bx. Длина этого ряда задаётся из условия обеспечения требуемого "оглядывания" сцены и зависит от назначения системы воспроизведения и числа наблюдателей. Период повторения объективов может меняться в широких пределах: от нескольких миллиметров до величины главного базиса.
Полученная совокупность плоских изображений, каждое из которых соответствует определённому ракурсу съёмки объекта, передаётся по телевизионному каналу. На приёмной стороне эти изображения последовательно воспроизводятся на экране 1 некоторой светоклапанной системы, например типа "Скиатрон" (рисунок 2) /3/. Экран 1 просвечивается когерентным светом
от ОКГ 3, и с помощью объектива 4 изображение проецируется на большой рассеивающий экран 2. В пространстве за экраном 2 изображение будет видно в угле рассеяния экрана. В этом угле помещена светочувствительная поверхность 5 для формирования на ней голограммы, состоящей из отдельных вертикальных полос 6 (синтезированной голограммы). Если экран 1 является диффузнорассеивающим (например "Скиатрон" типа 16 ЛМ-1Г с экраном из поликристалла КСl ), то можно обойтись без проекции на промежуточный экран 2.
При формировании синтезированной голограммы когерентный опорный фон заводится таким образом, что он освещает не весь светочувствительный материал, а лишь одну его вертикальную полосу, соответствующую передаваемому в данный момент ракурсу съёмки

Рис.2. Воспроизведение многоракурсного объемного изображения
посредством синтезирования голограммы плоских изображений.
объекта. Чтобы осуществить такое раздельное голографирование изображений - ракурсов объекта и чтобы голограммы-полоски следовали друг за другом, необходимо в моиент воспроизведения на экране изображения, допустим от крайнего левого объектива передающей системы, подать когерентный фон только на крайнюю левую вертикальную полосу светочувствительной среды, от среднего объектива на соответствующую порядку среднюю полоску и так далее. Достигнуть это возможно, если, например, использовать щелевую диафрагму 7 на пути расфокусированного пучка оптического квантового генератора (ОКГ), изменение положения которой осуществляется синхронно со сменой изображений на экране.
Любой участок голограммы будет экспонироваться не только "своим", но и "чужим" изображениями. Поскольку в это время эталонный пучок будет отсутствовать эта засветка зафиксируется лииь в интерференционных узорах с низкими пространственными частотами. Учёт этого обстоятельства при построении схемы голографирования позволяет полностью исключить их влияние при восстановлении изображения.
Рассмотрим некоторые особенности образования изображений по рассмотренному методу. Прежде всего определим пластику данной многоракурсной телевизионной системы, которая характеризует стереоэффект систем воспроизведения объёмных изображений /4/.
В соответствии с условиями формирования синтезированной голограммы линейный параллакс
d двух соседних изображений на фотокатоде передающей трубки будет определяться соотношением:
(1)
где
bx- базис передачи, то есть расстояние между двумя соседними объективами телевизионных камер; f- фокусное расстояние объективов камер; t-расстояние до объекта. Линейный параллакс d' на экране 1(рис.3) связан с d через линейное увеличение телевизионной системы и, то есть отношение высоты телевизионного растрат, разворачивающего принятое изображение кадра, к высоте растрат, разворачивающего изображение этого же кадра при передаче:

Рис.3. Схема наблюдения с синтезированной голограммы стереоскопического изображения.
(2)
Дополнительное линейное увеличение β
'0
внесёт проекционный объектив при переносе изображения с экрана 1
на экран 2, то есть
.
Окончательно линейный параллакс приема равен:
(3)
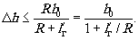
В соответствии с рис.3 точка А будет казаться наблюдателю на расстоянии
r, равном:
(3)
где
- расстояние от глаз наблюдателя
до синтезированной голограммы,
полный
линейный параллакс наблюдения, Δh
- ширина полоски синтезированной голограммы, r
- расстояние от синтезированной голограмуы до экрана 2, b0-
глазной базис.
Определим закон изменения параллактического угла данной системы
в зависимости от удаления наблюдателя от голограимы. Для этого подставим в выражение
для γ' значение
r и продифференцируем
его по l:
(4)
Закон изменения параллактического угла при непосредственном наблюдении точки А на объекте найдем из выражения:
(5)
Величина пластики получится, если взять отношение выражения (4) к (5):
(6)
Сравнение этого выражения с выражением для пластики обычной стереотелевизионной системы (4) показывает, что они тождественны.
Однако в данном случае пластика системы зависит от отношения
bx
/Δh
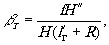
и углового увеличения системы. Действительно,
для рассматриваемой системы
,
где h''- вертикальный
линейный размер экрана 2. Увеличение при телевизионной передаче
или
Учитывая это, видим что выражение (6) преобразуется к виду
(6')
Из выражения (6) следует, что восприятие неискажённого объёма возможно только тогда, когда
bx=Δh и βt=1
. Предположим, что условие bx=Δh выполняется. Тогда для выполнения условия βt=1
следует удовлетворить равенство (l'Г+r)=β0"·f.
В этом равенстве величины r, f и β0"
- постоянные, a l'Г меняется. Казалось бы, что восприятие неискажённого объёма возможно только из одной фиксированной позиции наблюдения, удалённой от голограммы на расстояние
l'Г=β0"·f+r.
Докажем, что для многоракурсных систем, когда величина
bx стремится к нулю, βt не зависит от l'Г, а определяется только соотношением между постоянными
r, f и β0".
Предположим, что условие β
t=1
выполняется, когда глаза наблюдателя вплотную приближены к плоскости синтезированной голограммы l'Г =0. При удалении наблюдателя от голограммы
l'Г >0 будем иметь β<1. Однако это остаётся справедливым до тех пор, пока l'Г <l'Г опт (рис.3). Как только l'Г становится больше l'Г опт в образовании объёмного образа начинает участвовать соседняя полоска синтезированной голограммы, которая опять обеспечивает в какой-то фиксированной точке наблюдения β
t=1
. Это справедливо, так как удаление наблюдателя от объекта должно сопровождаться непрерывной сменой ракурсов, а мы по условию формирования синтезированной голограммы удовлетворяем это требование дискретно, через отрезки bx. Очевидно, также, что, уменьшая bx, мы будем уменьшать величину l'Г опт, и при каком-то достаточно малом, но
конечном значении bx влияние фактора l'Г станет незаметным для
наблюдателя.
На основании сказанного окончательное выражение для пластинки многоракурсной системы будет иметь вид:
(6")
Рассмотрим теперь возможность наблюденая слитного объёмного образа объекта, восстанавливаемого голограммой, синтезированной из полос. На рис.4 показана схема образования объёмного образа шестиракурсной синтезированной голограммой, для которой шаг съёмки ракурсов объекта
bx=b0 и ширина полоски Δh=b0. В зоне, отмеченной треугольником АВС , зритель поставлен в условие наблюдения стереоскопического объёмного изображения, Ясли же зритель находится от синтезированной голограммы на расстоянии, бсльшем чем l'Г опт , то при данных условиях синтезирования невозможно воспринимать неискаженный образ объекта.

Рис.4. Наблюдение объёмного многоракурсного изображения, восстанавливаемого с синтезированной голограммы:
i, ii, iii
- участки, соответствующие различный ракурсам съёмки.
Действительно, рассматривая изображение с расстояния
l'Г, зритель видит: во-первых, что суммарный образ представляется составленным из участков
i,ii,iii, соответствующих разным ракурсам съёмки объекта; во-вторых, зона объёмного видения дробится и появляются участки изображения, воспринимаемые необъёмно, 9.
Из рис.4 видно, что уменьшение размера полоски
Δh при соответствующем уменьшении базиса съёмки двух соседних изображений bx привести к уменьшению влияния указанных причин искажения образа объекта, 10.
На рис.4 также видно, что появление участков, воспринимаемых необъёмно, определяется тем обстоятельством, что оба глаза наблюдателя могут видеть отдельные части изображения через одну и ту же полоску голограммы. Для устранения влияния этого фактора размер полоски должен выбираться из следующего условия (рис.5а):
(7)

Рис.5. а) Устранение зон необъёмного телевидения.
б) К определению числа ракурсов съёмки объекта.
Таким образом, величина базиса съёмки
bx- определяется двумя критериями:
а) допустимыми искажениями объемного образа передаваемой сцены вследствие его дискретности;
б) удалённостью наблюдателя от синтезированной голограммы.
Более критичный из них следует принимать во внимание в первую очередь.
Предположим, что вертикальный размер экрана 1 равен Н'. Угловое увеличение при рассматривании изображения равно единице, если выполняется условие:
(8)
где
z' - число элементов изображения, укладывающееся вдоль высоты растра; Ψгл.- угловое разрешение глаза; θ- угол, под котором объект виден с места съёмки. Выражение (8) для угла зрения θ≈15° даёт результат: r≈4Н'. Если изображение рассматривать с расстояния 4Н', то наблюдатель будет видеть его таким же, каким оператор у передающей камеры видит объект.
Размер синтезированной голограммы можно определить, исходя из возможного углового расположения зрителей по горизонтали
α'гор.. В соответствии с рис.5а он равен:
(9)
Очевидно, что съёмочные объективы необходимо разместить на таком же горизонтальном отрезке В= В".
Выберем глубину зрительного угла, равную
r=l'Г макс.. Тогда, согласно уравнению (7), базис съёмки соседних изображений будет
равен
а число передаваемых изображений -
(10)
или для
r=4Н' -
(10')
где
k- коэффициент формата.
Для примера рассмотрим случай, когда В
'об=1 м и
l'г макс = 5 м. Согласно уравнению (9), для углов
α'гоp.= 40°÷60°
размер В" ≈ 4÷6 м. Размер полоски Δh≈30 мм, следовательно, nx≈130÷200.
Рассмотренный случай соответствует формированию синтезированной голограммой
объёмного изображения, полностью подобного объекту. Относительное расположение
съемочных объективов и объекта при этом в точности совпадает с относительным
расположением синтезированной голограммы и экрана. Следовательно, угловое смещение
съёмочных объективов относительно некоторой точки проекции О, (рис.5б) будет
для угла α
'гор=
60° составлять Δ
α'гор=
α'гор/nx≈18'.
Возможно, что такая дискретность
съёмки ракурсов обеспечит незаметность искажений объёмного образа, обусловленных
этой дискретностью. Возможно, однако, что дискретность съёмки необходимо будет
уменьшить, что, безусловно, приведёт к увеличению числа ракурсов съёмки до
Практическая реализация вещательной системы многоракурсного
телевидения с использованием принципа синтезированной голограммы совокупности плоских изображений на приёмном конце требует разработки новых или усовершенствования известных, например, фотохромных /5/, светочувствительных материалов. Поэтому в настоящее время метод синтезированных голограмм с успехом может применяться только в системах передачи статических телевизионных изображений. Это, как правило, прикладные телевизионны
e системы, в которых синтезированная голограмма формируется о целью дальнейшего тщательного изучения изображения.
При таком "статическом методе" формирования синтезированной голограммы используется лишь одна совокупность изображений. Эта совокупность может быть получена, например, при облёте космическим кораблём Луны.
Известно /6/, что голографиривание по схеме с обращённым опорным световым потоком позволяет сформировать толстослойную голограмму. Такая толстослойная голограмма обладает замечательным свойством: при восстановлении изображения с использованием источника с непрерывным спектром излучения избирательно отражает только ту монохроматическую составляющую, которая использовалась при записи. Использование трёх ОКГ, излучающих основные цвета (r- красный, В- синий,
g- зелёный), позволяет изготовить синтезированные голиграммы, с которых в обычном свете будут восстанавливаться цветние объёмные изображения.
Изображение, восстанавливаемое с такой синтезированной голограммы, представляет собой эквивалент рельефных растровых открыток. Возможно, что задача изготовления голографическкх рельефных открыток при соответствующей разработке технологии процесса будет решаться более просто и более качественно, чем это делается в настоящее время при использовании оптических растров.
Результаты экспериментальной проверки возможности использования голографических методов для эффективной селекции ракурсов при воспроизведении многоракурсных объёмных изображений показали, что при угловой дискретности съёмки объекта, равной 15', полосчатость восстанавливаемого изображения практически незаметна. Полученные результаты, однако, ещё не позволяют с полной уверенностью сделать вывод, что данная угловая дискретность съёмки объекта является оптимальной. Для определения таковой следует прорасти статистические исследования с привлечением большого числа наблюдателей.
Л и т е р а т у р а
1. П.В.Шмаков, Б.Г.Жебель, П.М.Копылов, Э.В.Медведев.А.Н.Тачков. Передача голограмм по телевизионному каналу, ТКиТ, № 10, 1969.
2. П.В.Шмаков, Б.Г.Жебель. П.М.Копылов, Э.В.Медведев, А.Н.Тачков. Воспроизведение объёмных изображений с использованием когерентного света. Электросвязь, № 2, 1970.
3. П. В. Шмаков, Б.Г.Жебель, П.М.Копылов, В.Е.Джакония. А.Н.Тачков. Формирование синтезированных голограмм в системах воспроизведения объёмных изображений. Электросвязь, № 1, 1971.
4. П.В.Шмаков, К.Т.Колин, В.Е.Джакония. Стереотелевидение, изд. Связь, М.,
1968.
5. q.
К.megla. optical properties and application photochromic glass.appl.optics, 6, 1966.
6. Ю.Н.Денисюк. Об отображении оптических свойств объекта в волновом поле рассеянного им излучения. ДАН СССР,
144, № 6, 1962.